网站首页
关于我们
公司简介
企业宣传片
荣誉资质
产品系列
输液器系列
输血器系列
注射器-注射针系列
头皮针系列
延长管系列
配件系列
新闻资讯
联系我们
制造商提供信息
一次性使用延长管
一次性使用无菌注射针
一次性使用注射器
制造商提供信息
当前位置:
主页
>
制造商提供信息
>
一次性使用延长管
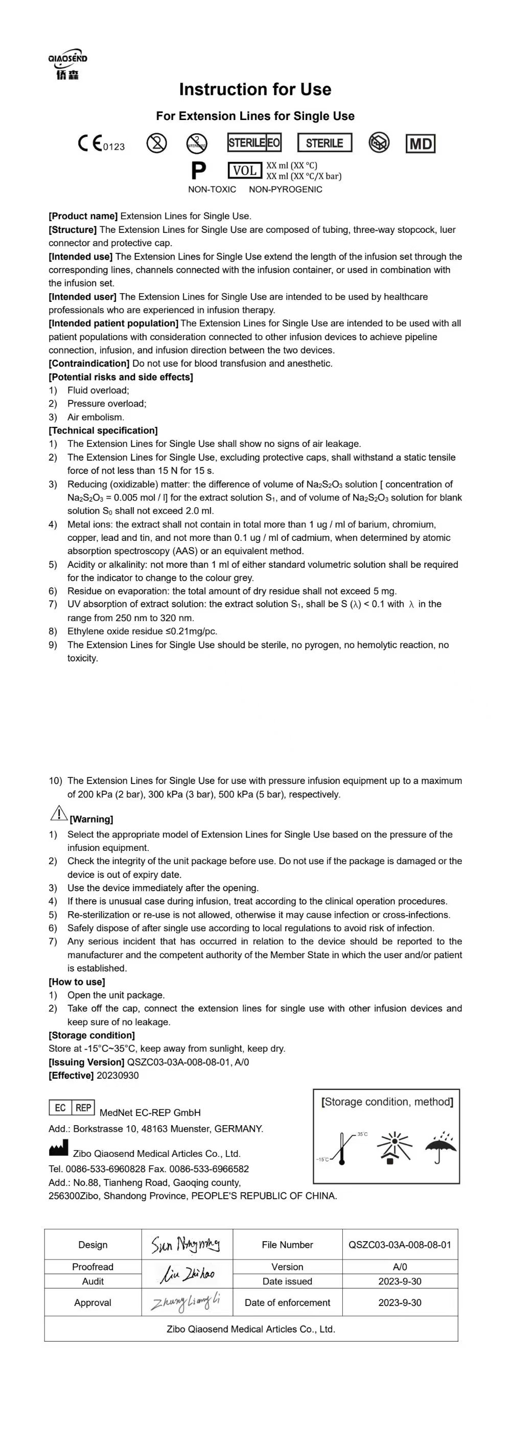
Instruction for Use For Extension Lines for single Use
一次性使用延长管
|
2025-05-24 15:12
x
网站首页
关于我们
公司简介
企业宣传片
荣誉资质
产品系列
输液器系列
输血器系列
注射器-注射针系列
头皮针系列
延长管系列
配件系列
新闻资讯
联系我们
制造商提供信息
一次性使用延长管
一次性使用无菌注射针
一次性使用注射器